Login
HWK-Mitglied
Startseite
Kontakt
Gutschein einlösen
Seite
0
von
geladen
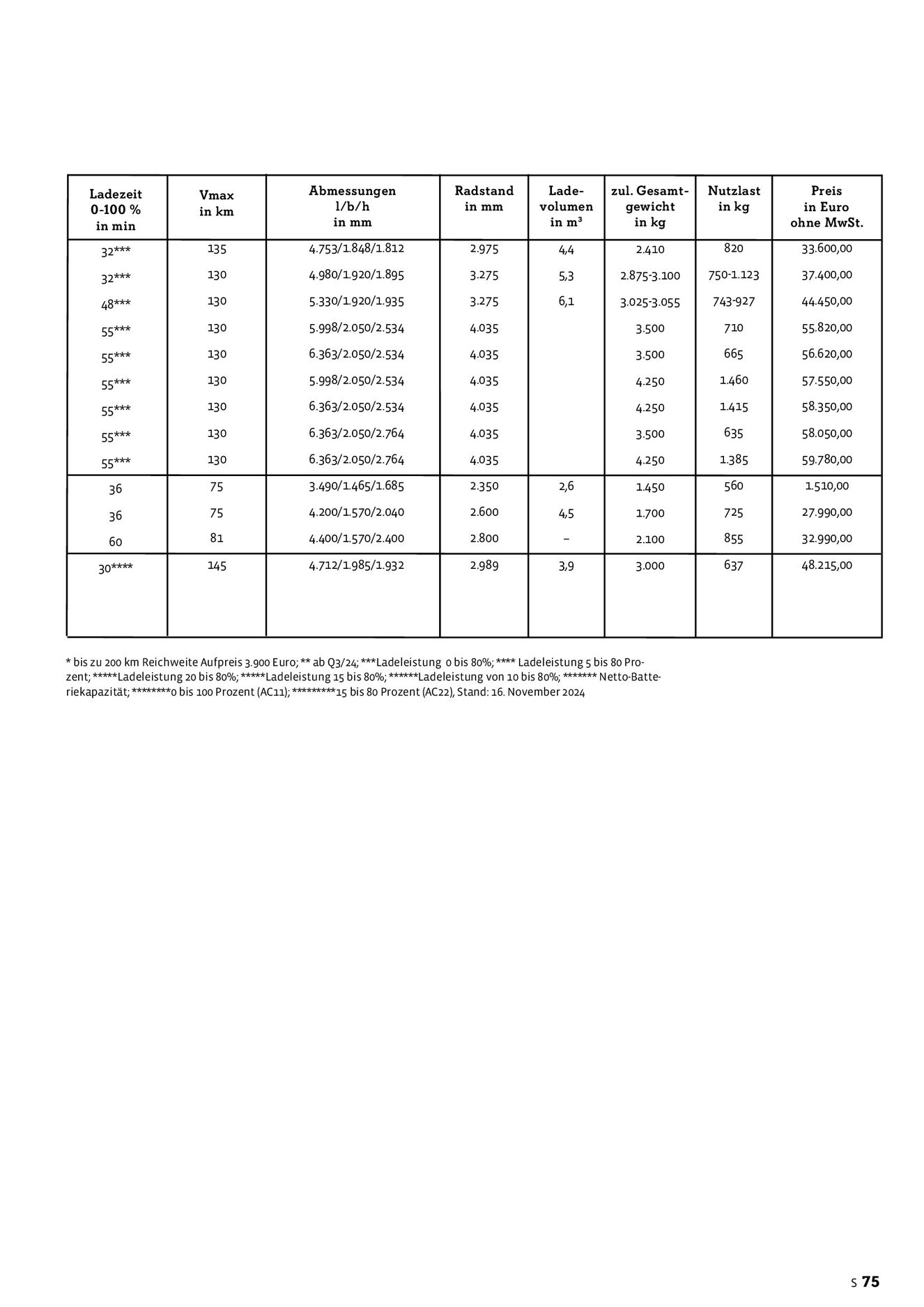
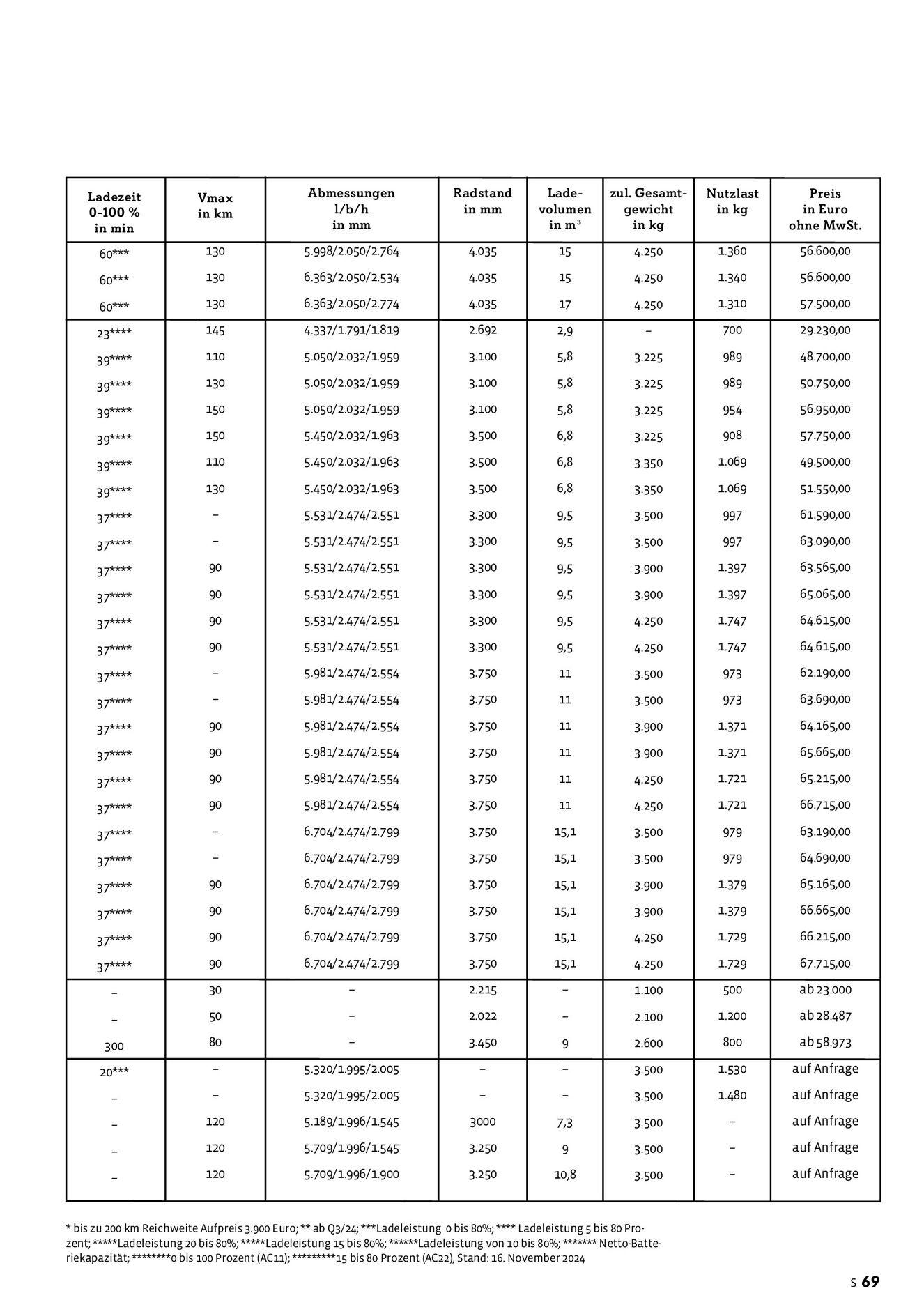
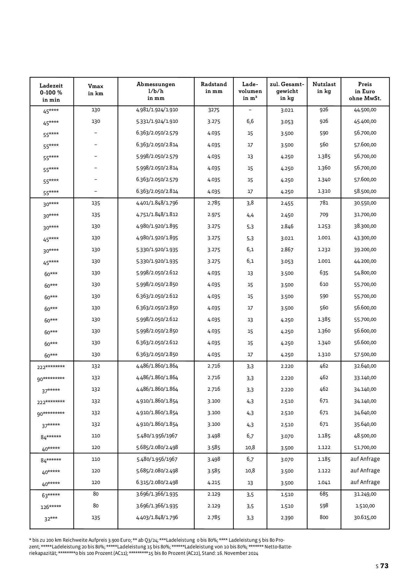
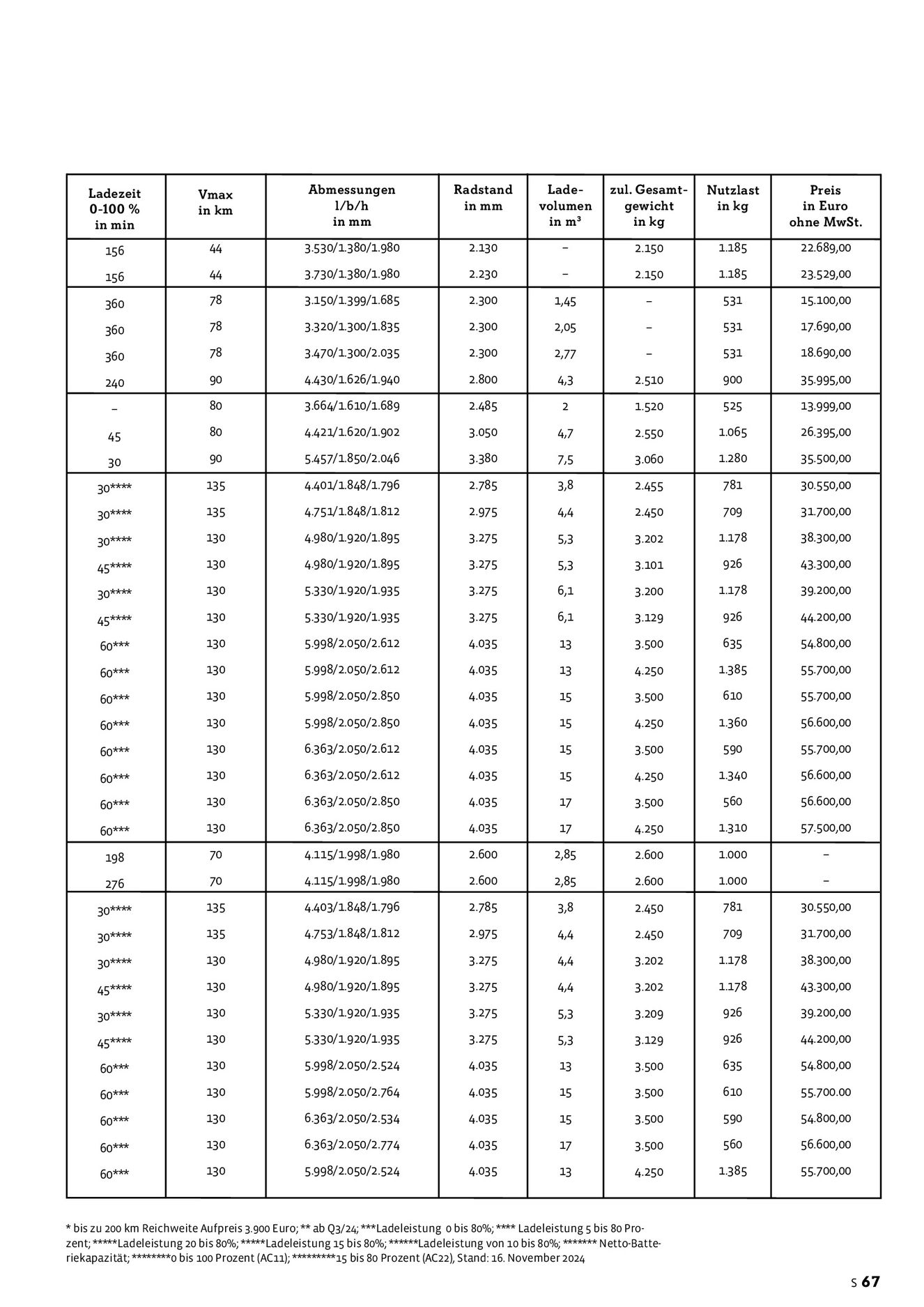
SUU:M 05.24 - Marktübersicht E-Transporter