Login
HWK-Mitglied
Startseite
Kontakt
Gutschein einlösen
Seite
0
von
geladen
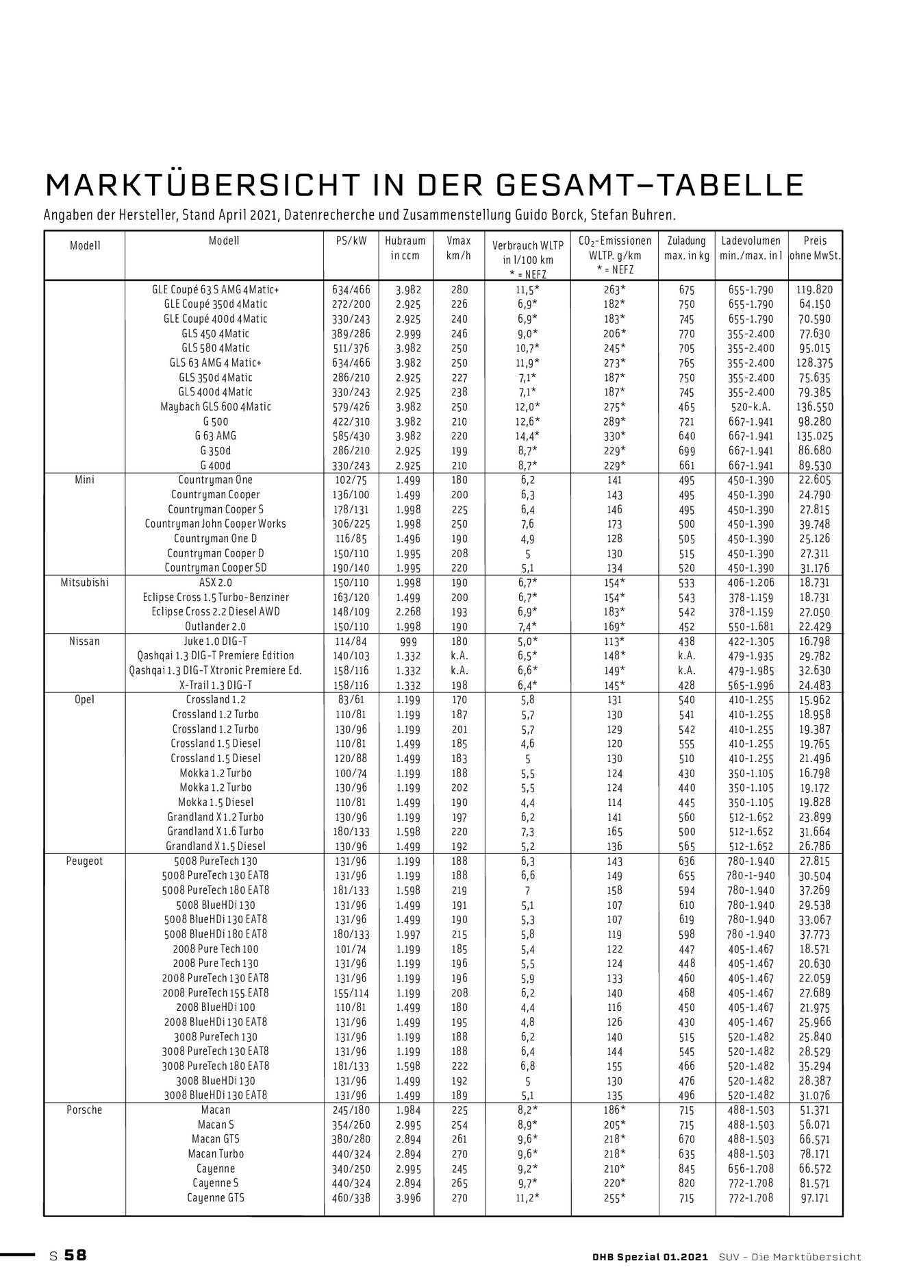
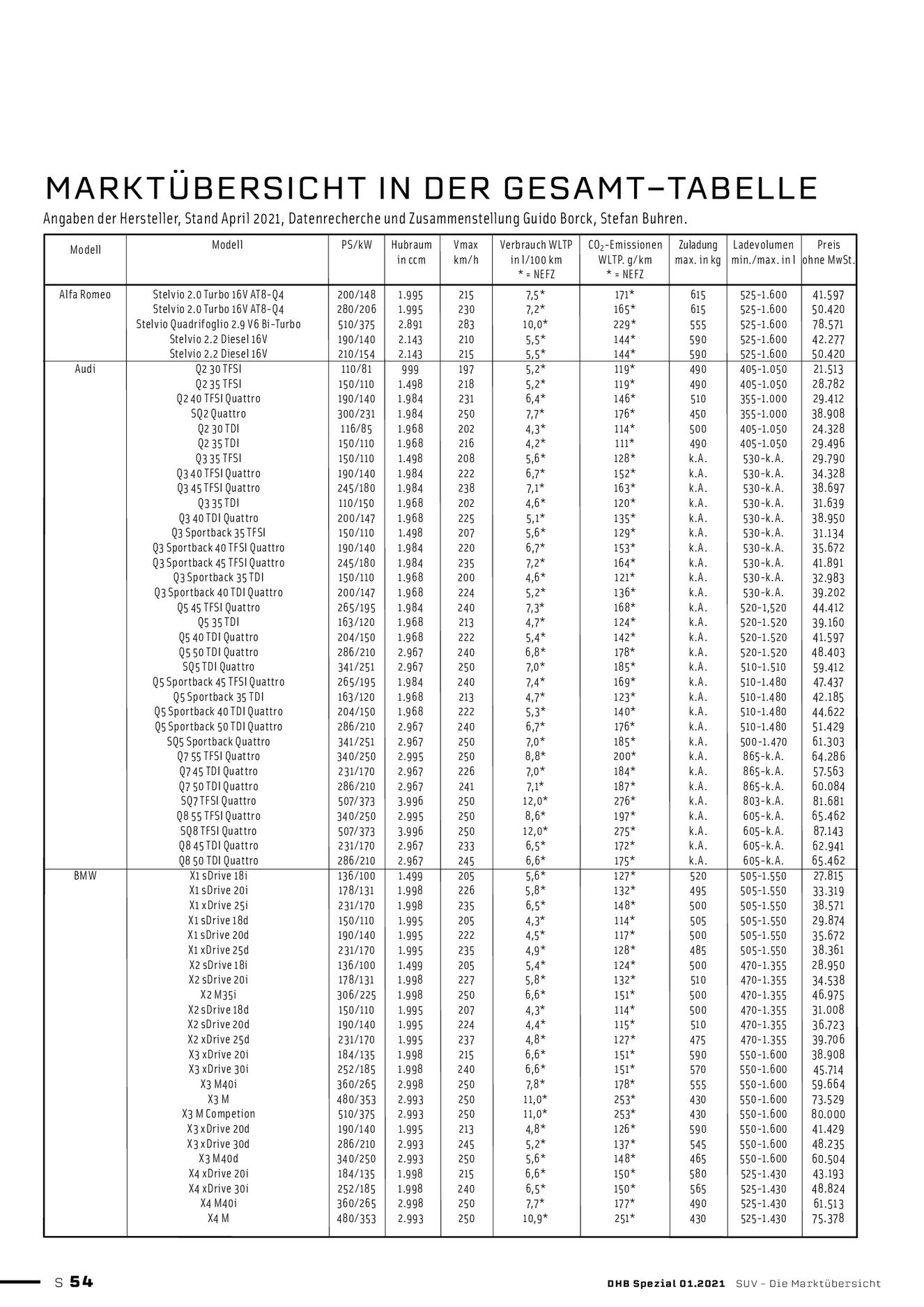
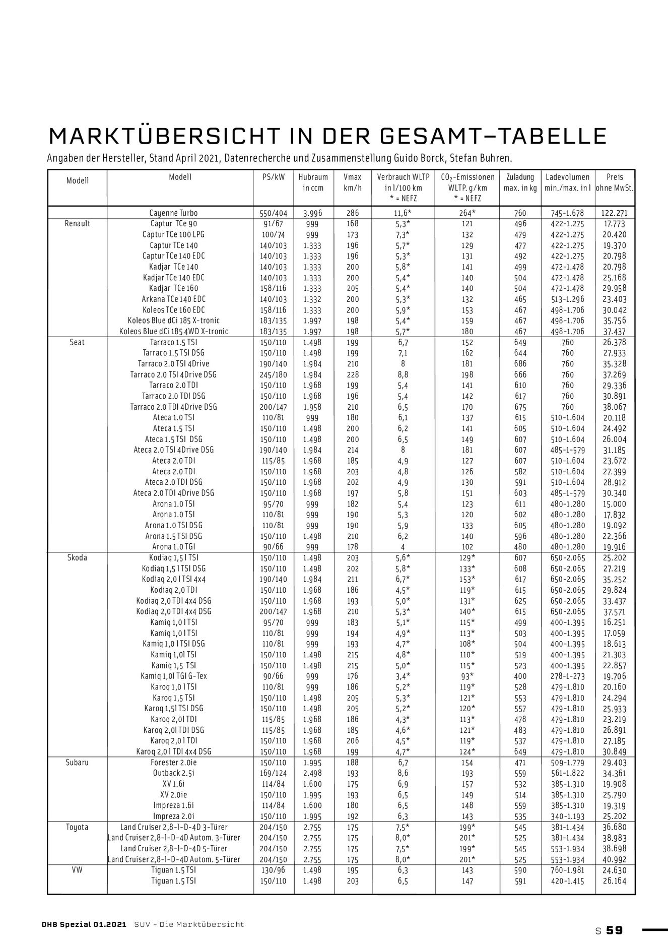
DHB Spezial 01.2021: SUV – Die Marktübersicht